PROCESO DE PRESENTACIÓN DE QUEJAS
El proceso de presentación y resolución de quejas del PROINFOR se encuentra a cargo del secretario técnico del comité de resolución de quejas. Además, a través del procedimiento para la implementación operativa de los productos y servicios de PROINFOR, se podrán presentar y atender quejas y/o recomendaciones.
Las quejas deben ser presentadas por cualquiera de los siguientes medios:
- En el Centro de Atención PROINFOR, mediante correo electrónico: adriana.cerda@gfa-group.de
- Por correo postal con atención a: Resolución de Quejas – PROINFOR, a la dirección: Antigua Carretera a Pátzcuaro 8555, Residencial San José de la Huerta, CP 58342, Morelia, Michoacán.
Las quejas deberán incluir la siguiente información:
- Nombre, apellidos y datos de contacto de la parte afectada.
- Documento prueba de representación si no es presentada directamente por el afectado.
- El objeto específico de la queja, indicando la región e involucrados.
- El daño que está produciendo o podría producirse.
- Cualquier otra información pertinente (fechas, fotos, nombres de testigos).
- Cualquier acción tomada hasta el momento para resolver el problema.
- Las soluciones propuestas.
- Si se solicita tratamiento confidencial e indicando el porqué.
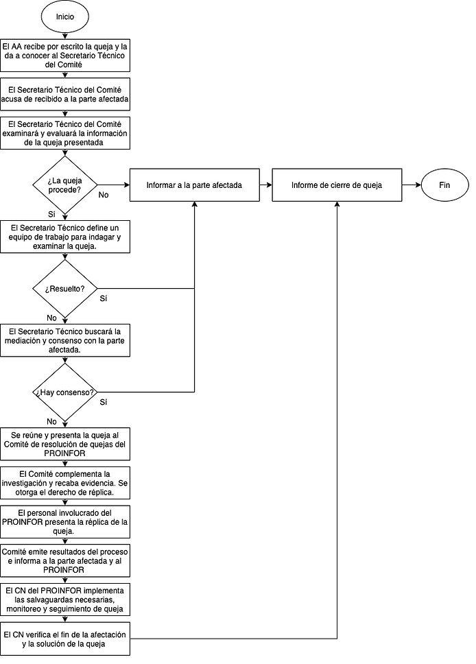
PROCESO DE REVISIÓN DE QUEJAS
- Recepción: El secretario técnico acusará de recibido y evaluará la elegibilidad en un plazo no mayor a siete días hábiles.
- Investigación: Si es procedente, se definirá un equipo para indagar. Si no se resuelve por escrito, se buscará la mediación y consenso.
- Comité de Resolución: Si no hay consenso, intervendrá el comité conformado por miembros de FIRA, sociedad civil, academia y GFA-Euro Funding.
- Resolución: Tras el análisis y derecho de réplica, se emitirá una resolución a la parte afectada y a la Coordinación Nacional.
- Seguimiento: La Coordinación Nacional implementará salvaguardas y verificará que la afectación sea solventada antes del informe de cierre.
